交易价格: 面议
类型: 发明专利
技术成熟度: 正在研发
专利所属地:中国
专利号:CN201010108366.2
交易方式: 完全转让
联系人: 中国科学院大连化学物理研究所
所在地:江苏苏州市
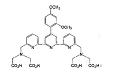
本发明涉及一种新型稀土配合物比率型荧光探针,可用于生物体系中过氧亚硝酸阴离子的测定。该探针是两种三价稀土离子Eu3+和Tb3+与有机配位体[4'-(2,4-二甲氧基苯基)-2,2':6'2"-联三吡啶-6,6"-二甲胺]四乙酸(简称DTTA)形成的配合物,其中所述配位体结构式为:该探针可以特异性地与过氧亚硝酸阴离子作用,导致两种稀土配合物在612nm及541nm的荧光强度的比值(F612/F541)发生变化,从而实现对生物体系中过氧亚硝酸阴离子的选择性荧光测定。

成果推荐 需求推荐 评估专家推荐 评估机构推荐
Copyright © 2018 宁夏回族自治区生产力促进中心 版权所有 宁ICP备11000235号-3 宁公网安备 64010402000776号