成果(技术)简介: 茶色素是从茶叶中提取得到的一种天然色素,主要成分为茶黄素类、茶红素类和茶褐素类。茶黄素是茶色素的重要成份,是由绿茶或红茶热水提取而得到的水溶性色素,其成分主要是黄烷醇类及其氧化产物、黄酮类等,主要由儿茶素和没食子儿茶素配对氧化缩聚而成。茶黄素既可作为食用色素,还具有显著的医疗功效。
茶黄素具有很好的应用前景,已报道的萃取法、化学氧化法等生产茶黄素的方法不但生产效率低而且有机溶剂会降低产物的品质,故微生物发酵方法生物转化合成茶黄素成为研究趋势。
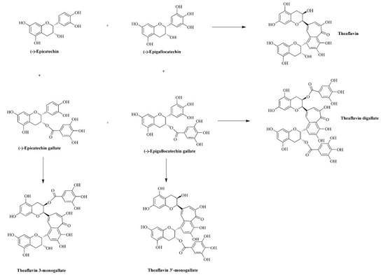
茶多酚主要包括儿茶素类、黄酮、黄酮醇类、花青素类、花白素类和酚酸及缩酚酸类。茶多酚具有抗衰老、抗辐射、抗氧化、消除自由基、防治肿瘤及增强机体免疫力等多种生理功能。可用于食品保鲜防腐,无毒副作用、安全,是茶叶中最主要的有效成分之一。茶黄素化合物是成对的儿茶素经过茶多酚氧化酶(PPO)催化氧化形成邻醌,它们氧化后的邻醌B环之间偶联形成茶黄素,它是含有二羟基苯骈卓酚酮的一类化合物。
我们从发酵途径出发,筛选出具有较高氧化酶酶活的菌种,以食用菌提取液为发酵液,进行酶法生物转化合成茶黄素。同时结合萃取技术,以期达到反应体系与分离纯化工艺同时进行,提高生产效率,降低生产成本。


图1 四种茶黄素结构 (Chemical structures of the four major theaflavins)

图2主要茶多酚成份合成茶黄素途径
(The formation of theaflavins by main polyphenols components)
主要技术特点:
转化率:大于80%;
回收率:大于 90%。
应用领域及效益分析: 食品添加剂领域及其它相关药物中间体领域。
投产条件: 符合国家药物中间体生产相关标准。
合作方式:转让或面议